农业银行上半年营收净利双增 行长王志恒:增长更有韧性
2025-08-31
相约上合 绽放津彩|上合可持续发展合作故事
2025-08-31
威廉凯特“可持续农业”计划曝光!竟撞车梅根Netflix大片上映日
2025-08-30
农业农村现代化对中国式现代化的历史贡献
2025-08-30
大疆农业发布《农业无人机行业白皮书(20242025)》(附6点解读)
2025-08-30
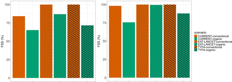
土地利用优化视角下的可持续饮食与农业系统转型研究——以比利时瓦隆区为例
2025-08-30
“有一种叫云南的生活”引发全球共鸣
2025-08-30
中阿农业国际经贸合作交流会签约金额逾78亿元
2025-08-30
ROYAL INTERNATIONALAGRICULTUR EXHIBITION
2025-08-30