威廉希尔(williamhill)科技股份有限公司官网

土地利用优化视角下的可持续饮食与农业系统转型研究——以比利时瓦隆区为例

发布时间:2025-08-30 08:18:28| 浏览次数:

  本研究针对工业化食品系统引发的健康与环境挑战,通过构建瓦隆区作物分配优化模型,评估了CURRENT、TYFA和EAT-Lancet三种饮食模式在常规与有机农业下的自给潜力。研究发现仅TYFA和EAT-Lancet饮食可实现完全食物自给率(FSS),且减少食物浪费是提升有机农业自给率的关键。该研究为区域农业政策制定提供了量化依据,发表于《npj Sustainable Agriculture》。

  全球食品系统正面临双重危机:一方面,不良饮食导致的健康风险已超过烟酒危害总和;另一方面,农业集约化造成30%温室气体排放和70%淡水消耗。比利时瓦隆区作为典型工业化地区,其食品系统高度依赖全球化供应链,在疫情和气候变化的冲击下暴露出严重脆弱性。如何通过本地化解决方案实现可持续饮食与农业系统的协同优化,成为亟待解决的科学命题。

  研究团队创新性地构建了包含九大农业区的空间优化模型,整合了区域特异性产量数据(2019-2023年StatBel数据库)、动物生产参数(包括饲料转化率FCR和牲畜单位LU)及有机农业减产系数。通过非线性优化算法(R软件nloptr包),在限定50%最大作物种植比例条件下,最小化生产与需求差异的平方和。

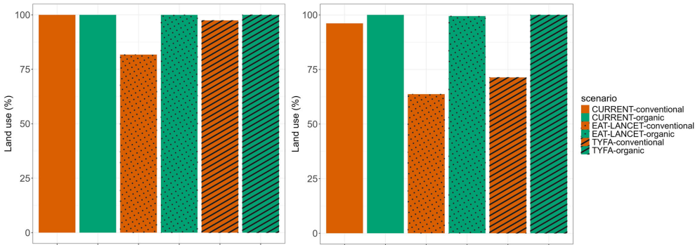
  模型显示当前饮食下瓦隆区无法实现完全自给(常规农业84%,有机农业65%)。但转向EAT-Lancet或TYFA饮食后,常规农业可实现100%自给,并分别释放18%和3%耕地。有机农业需将食物浪费从30%降至10%,才能使EAT-Lancet饮食达到完全自给。

土地利用优化视角下的可持续饮食与农业系统转型研究——以比利时瓦隆区为例(图1)

  EAT-Lancet饮食在常规农业下仅需64%耕地,展现出最高土地效率。有机系统因产量差距需占用更多土地,TYFA有机方案需99%耕地满足需求,突显产量与可持续的权衡。

土地利用优化视角下的可持续饮食与农业系统转型研究——以比利时瓦隆区为例(图2)

  EAT-Lancet饮食使草地载畜量降至0.51LU/ha(常规)和0.60LU/ha(有机),而当前饮食达2.11LU/ha。TYFA饮食使反刍动物占比提升至48%,体现其循环农业理念。

  研究证实饮食转型比生产方式变革更能有效提升区域食物主权。EAT-Lancet饮食虽土地效率最优,但缺乏对永久草场的循环利用;TYFA方案则通过增加豆类摄入(30g/天)和反刍动物比例,平衡威廉希尔了营养、环境与资源利用。值得注意的是,有机农业的生态系统协同效益(如生物多样性保护、土壤健康改善)虽未直接量化,但通过长期产量趋同现象(Ponisio et al. 2015)提示其潜在韧性优势。该研究建立的通用模型框架,为其他地区评估饮食-农业系统耦合效应提供了方法论范式。

TOP