威廉希尔(williamhill)科技股份有限公司官网

FSHW 次氯酸钠诱导的可存活但不可培养(VBNC)状态肠炎沙门菌应激反应的转录组与蛋白质组综合研究

发布时间:2026-04-30 13:39:49| 浏览次数:

  次氯酸钠(NaClO)因操作简便、杀菌高效、成本低廉而被广泛使用,但不当使用可能诱导细菌进入可存活但不可培养(VBNC)状态。此类细菌虽不能形成菌落,却仍保持代谢活性,在适宜条件下可复苏,威胁食品安全与公共卫生。高通量转录组与蛋白质组技术为研究细菌应激机制提供了新手段。已有研究揭示了NaClO对肠炎沙门菌的蛋白质组学应答,但对其进入VBNC状态的条件与适应机制仍缺乏系统认识。本研究旨在探讨NaClO诱导肠炎沙门菌(Salmonella Enteritidis)形成VBNC状态的条件、特征及其应激响应机制,并通过转录组与蛋白质组联合分析进行阐释。

  如图1A所示,当肠炎沙门菌暴露在50 mg/L次氯酸钠溶液中时,可培养细胞数量迅速下降,而仍存活的细胞数量维持在106~108 cells/mL之间。经过2.5 h处理后,虽然菌落已无法培养,但仍有约61%的细胞保持活性(图1F),说明大量细胞进入了可存活但不可培养(VBNC)状态。该浓度与常规食品加工和屠宰环节的消毒水平相当,意味着在常规消毒条件下,部分沙门菌仍可能以VBNC形式存活,并在适宜条件下复苏。

FSHW 次氯酸钠诱导的可存活但不可培养(VBNC)状态肠炎沙门菌应激反应的转录组与蛋白质组综合研究(图1)

  图1 肠炎沙门菌在50 mg/L次氯酸钠作用下0.5~3 h的可培养与可存活细胞变化

  扫描电镜和透射电镜结果显示,正常菌体呈规则杆状、膜结构完整;而VBNC状态的菌体体积明显变小,细胞膜出现破裂或不规则形态,甚至部分细胞发生溶解(图2A–H),表明强氧化环境导致细胞结构受损。

  VBNC菌的活性氧(ROS)含量显著升高(图2I),说明氯消毒产生的自由基会在细胞内引发强烈的氧化应激,可能损伤DNA、膜结构和其他生物分子。

  如图2J所示,VBNC菌的NAD⁺/NADH比值大幅上升,提示细胞内氧化还原平衡被破坏,能量代谢受抑,处于一种“低代谢休眠”状态。

  VBNC细胞的ATP水平由对照组的3.9 nmol/L降至约0.98 nmol/L(图2K),说明氯处理破坏了能量代谢过程和膜完整性,导致能量耗竭,细胞处于休眠或濒死状态。

FSHW 次氯酸钠诱导的可存活但不可培养(VBNC)状态肠炎沙门菌应激反应的转录组与蛋白质组综合研究(图2)

  为了深入了解VBNC状态肠炎沙门菌对氯胁迫的分子适应机制,研究者利用全转录组测序分析了其mRNA水平变化。结果显示,VBNC组与对照组的表达模式差异明显(图3A),共有4134个转录本发生差异,其中267个基因上调,207个下调。GO富集分析显示,这些差异基因主要涉及刺激应答、信号传导及物质转运等功能(图3B)。

  与对照组相比,VBNC细胞中两组分系统、生物膜形成、ABC转运蛋白、分泌系统及鞭毛装配等相关基因显著富集(图3C),说明细胞通过激活这些通路提高环境适应性。同时,与蛋白合成和结构功能相关的基因被下调,反映出细胞降低代谢活性,以维持低能耗的存活状态。

FSHW 次氯酸钠诱导的可存活但不可培养(VBNC)状态肠炎沙门菌应激反应的转录组与蛋白质组综合研究(图3)

  为了进一步揭示VBNC状态下的应激机制,研究者对其蛋白质组进行了分析。结果发现,共检测到21594条肽段和4464种蛋白,其中1031种显著差异表达(上调613种,下调418种)(图4A)。

  功能富集结果显示,这些差异蛋白主要参与应激响应、生物调控、细胞通讯以及能量代谢等过程(图4B)。KEGG通路分析进一步表明,柠檬酸循环、HIF-1信号通路及糖酵解/糖异生等能量代谢相关途径被显著激活(图4C)。这些变化说明VBNC细胞在受到氯胁迫后,通过调节代谢与信号通路来维持基础生命活动。

FSHW 次氯酸钠诱导的可存活但不可培养(VBNC)状态肠炎沙门菌应激反应的转录组与蛋白质组综合研究(图4)

  基因与蛋白表达的关联分析显示,两者的表达变化并非完全对应(图5A),这与转录后及翻译后调控有关。尽管如此,二者在多个关键通路中呈现共同富集,包括代谢途径、ABC转运系统、DNA复制及生物膜形成(图5B),表明这些通路是细菌维持VBNC状态的核心环节。

FSHW 次氯酸钠诱导的可存活但不可培养(VBNC)状态肠炎沙门菌应激反应的转录组与蛋白质组综合研究(图5)

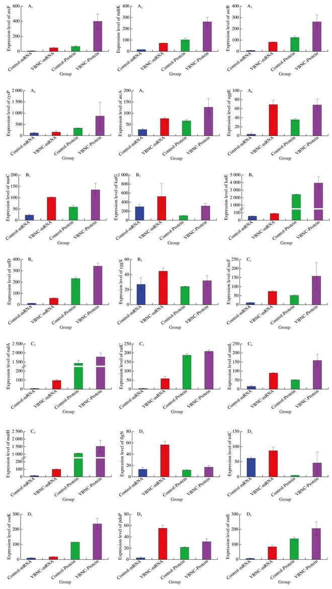
  VBNC状态下,多种外排泵相关基因显著上调,其中dppC、lolD、ugpE等ABC外排泵基因提高16~32倍(图6A)。蛋白质组结果显示,多药外排泵蛋白AcrA、TolC、MdtK等也明显上调,尤其是RND型外排系统AcrAB-TolC及其调控因子ramA上升2倍以上。这些变化表明,VBNC细胞通过增强外排能力,主动排出有毒物质与消毒剂成分,从而保持细胞内部稳定并延长存活时间。

  VBNC细胞中,氧化应激调控相关基因显著激活。红氧敏感转录因子SoxR和还原蛋白RseC分别上调4倍与8倍(图6B),显示OxyR依赖的氧化防御系统高度活跃。同时,抗氧化蛋白如硫氧还蛋白(TrxA/B)和谷胱甘肽还原蛋白(GrxB/C)显著上调。

  此外,与电子传递及氧化还原调控相关的tucA、fadA、apbE、mioC、lldD及NAD威廉希尔H-脱氢酶复合体等基因均显著增强表达,说明细胞通过提高氧化还原活性与抗氧化能力来抵御ROS的破坏。这种应答帮助VBNC细胞在强氧化环境中维持能量代谢平衡和基本生理功能。

FSHW 次氯酸钠诱导的可存活但不可培养(VBNC)状态肠炎沙门菌应激反应的转录组与蛋白质组综合研究(图6)

  VBNC状态下,肠炎沙门菌的DNA修复系统被显著激活。SOS反应相关调控因子LexA和RecX的表达分别上升约2倍和4倍,表明SOS修复通路被启动(图6C)。LexA调控基因的普遍上调说明细胞正积极应对DNA损伤,相关的修复基因如radA、radC、recO和recN上调幅度达2–16倍。与此同时,核苷酸切除修复基因(uvrA、uvrB、uvrC、uvrD)、DNA错配修复基因(mutH、mutL、mutS、vsr)及核糖体蛋白基因(rplD、rplM、rplP、rpsP)也显著上调。

  此外,与DNA损伤应答相关的GTP酶(mnmE、typA、RsgA)及DNA依赖ATP酶(RecB、YeaH等)表达升高,进一步说明修复机制处于活跃状态。蛋白质组结果也验证了DNA修复相关蛋白(如MutH、MutL、RadA、RadC)的显著富集。总体上,这表明氯消毒造成的DNA损伤超过了细胞常规修复能力,促使细菌启动SOS及突变型修复机制来维持生存。DNA复制相关蛋白如DnaA与RecF也上调,有助于细胞在受损环境中维持基因复制稳定。

  研究发现,VBNC状态下的肠炎沙门菌仍保持甚至增强了部分致病相关功能。III型分泌系统(T3SS)及其效应蛋白显著上调,其中sopA、sopB、sspH2、sipA上调2~8倍,结构蛋白SseA与SseL上调约2倍(图6D)。T3SS作为细菌入侵宿主的重要装置,可将毒力蛋白直接注入宿主细胞,增强感染能力。

  同时,VBNC细胞的鞭毛基因如fliA、fliF、flgA等显著上调4~32倍,σ28因子(fliA)表达上升约9倍,说明鞭毛生成与运动性增强。这有助于细菌在不利环境下移动、形成生物膜并寻找更适宜的生存区域。黏附相关基因shdA、fimH、sadA、misL也上调4~16倍,蛋白层面上黏附蛋白PagN与FimH上调约2倍,提示其黏附与侵袭能力增强。

  更值得关注的是,代谢微结构Eut和Pdu系统显著上调8~32倍,涉及乙醇胺(Eut)与1,2-丙二醇(Pdu)的利用通路。这些细胞代谢囊泡可包裹有害中间产物,提升代谢效率,使细菌能在肠道缺氧环境中更具生存优势。相关调控基因arcA、arcB及cAMP-Crp调控因子也同步上升2~8倍,进一步增强能量代谢与适应能力。

  这些变化表明,VBNC状态下的沙门菌可能仍具活跃的代谢与致病潜能,在人体肠道内可能造成更强的感染风险,对食品安全和公共卫生构成潜在威胁。

  为验证转录组与蛋白质组结果的可靠性,研究者随机选取了8个差异基因和8个差异蛋白进行RT-qPCR和PRM验证。结果显示,acrA、arcD、ampG、fadA、pduL、radC、soxR等基因的表达趋势与RNA-seq结果一致(图5C),蛋白质组的PRM验证结果也与原始数据相符(图5D),说明本研究的多组学分析数据具有较高可靠性。

  本研究结合转录组与蛋白质组分析,系统揭示了氯消毒诱导的VBNC状态肠炎沙门菌的适应机制。结果表明,这些细胞通过多威廉希尔种应激途径应对氧化损伤与环境压力,包括DNA修复、SOS反应、氧化应激防御、多药外排系统(RND)以及III型分泌系统(T3SS)。同时,鞭毛和代谢囊泡(Eut与Pdu BMCs)的增强表达可能进一步提升其致病性与肠道生存能力。

  研究提示,氯消毒可能无法彻底清除沙门菌VBNC细胞,这类细胞仍具潜在感染风险,亟需制定更科学、彻底的消毒策略,以降低其对食品与公共健康的威胁。

  为汇聚全球智慧共探产业变革方向,搭建跨学科、跨国界的协同创新平台,由北京食品科学研究院、中国肉类食品综合研究中心、国家市场监督管理总局技术创新中心(动物替代蛋白)、中国食品杂志社《食品科学》杂志(EI收录)、中国食品杂志社《Food Science and Human Wellness》杂志(SCI收录)、中国食品杂志社《Journal of Future Foods》杂志(ESCI收录)主办,西南大学、 重庆市农业科学院、 重庆市农产品加工业技术创新联盟、重庆工商大学、重庆三峡学院、西华大学、成都大学、四川旅游学院、北京联合大学、 中国-匈牙利食品科学“一带一路”联合实验室(筹)共同主办 的“ 第三届大食物观·未来食品科技创新国际研讨会 ”, 将于2026年4月25-26日 (4月24日全天报到) 在中国 重庆召开。

  为系统提升我国食品营养与安全的科技创新策源能力,加速科技成果向现实生产力转化,推动食品产业向绿色化、智能化、高端化转型升级,由北京食品科学研究院、中国食品杂志社《食品科学》杂志(EI收录)、中国食品杂志社《Food Science and Human Wellness》杂志(SCI收录)、中国食品杂志社《Journal of Future Foods》杂志(ESCI收录)主办,合肥工业大学、安徽农业大学、安徽省食品行业协会、安徽大学、合肥大学、合肥师范学院、北京工商大学、中国科技大学附属第一医院临床营养科、安徽粮食工程职业学院、安徽省农科院农产品加工研究所、安徽科技学院、皖西学院、黄山学院、滁州学院、蚌埠学院共同主办的“第六届食品科学与人类健康国际研讨会”,将于 2026年8月15-16日(8月14日全天报到)在中国 安徽 合肥召开。

  特别声明:以上内容(如有图片或视频亦包括在内)为自媒体平台“网易号”用户上传并发布,本平台仅提供信息存储服务。

  湖南某医院职工举报院长儿子“吃空饷”涉百万奖金,医院纪委查实“重复拿钱”2万元并退款,否认“吃空饷”,举报人要求提级调查

  伦敦世乒赛!爆11-0惨案!63岁倪夏莲自动让分,王楚钦放狠话捍卫国乒荣耀

  马斯克天价薪酬方案曝光:若SpaceX市值达到7.5万亿美元且在火星建立至少100万人的人类永久定居点,马斯克将获授2亿股股票;国家数据局透露,全国已建...

  骑士逆转险胜3-2猛龙:哈登23+9季后赛破4000分 莫布利23+9

  第16课What to say at dinner banquets商务宴请职场形象加分表达

TOP